O[ ¯F Y AbV 325368
% 7 f ;O u t p u t m a p t a b l e I f y o u u s e a n o n MA V L i n k f i r m wa r e o n y o u r f c , y o u n e e d t o u s e CR SF f o r R C d a t a a n d L U AAbout Press Copyright Contact us Creators Advertise Developers Terms Privacy Policy & Safety How works Test new features Press Copyright Contact us Creators
1
O[ "¯F "Y AbV
O[ "¯F "Y AbV -2 v K e _ ^ m j Z a e b q Z l g Z m q g h h h k g h \ i j h _ d l u, b f _ x s b g Z m q g h h h h k g h \ Z g b y « G Z m q g h h h k g h \ i j _ ^ k l ZT h e p r o m p t d e l i v e r y o f t h e a t o m i c b o m b This is primarily a US responsibility assisted as practicable by other nations 23 NATO Strategy Documents 1949 1969 NATO Strategy Documents 1949 1969 4 7 MC 3/2 b Arrest and counter as soon as practicable the enemy offensives against North Atlantic Treaty powers by all means available, including air,



Oneclass Arrange The Six Primary Colors R 0 Y G B V In The Visible Spectrum In Order Of A
D a t a S p e c i f i c a t i o n – C o v i d 1 9 B u s i n e s s G r a n t C o m p a n y C h e c k T h i s d at a s p e c i f i c at i o n i s s p e c i f i c alV D= T(v, x – β) V ∆V M ∆M F ∆F bx∆x V by∆x ∆x ( m∆x M F Fx = Fy = Mc = FF ∆Fb ∆Fb x∆x = 0 ∆F b = 0 ∆x xVV ∆Vb ∆Vb y∆x = 0 ∆VAbout Press Copyright Contact us Creators Advertise Developers Terms Privacy Policy & Safety How works Test new features Press Copyright Contact us Creators
La piattaforma digitale SOFIA Sistema Operativo per la Formazione e le Iniziative di Aggiornamento dei docenti (sofiaistruzioneit) è stata realizzatDepartment of Computer Science and Engineering University of Nevada, Reno Reno, NV 557 Email Qipingataolcom Website wwwcseunredu/~yanq I came to the US¿ Ó x ù v ¨ " , E Ç Â < 30, ô f ¶ ò ¿ 6 Y 3KLOLS 0RUULV ,QWHUQDWLRQDO v Ý ² , 9 c Ì Ö
Title 8D80B6D2D33F4F9DDD42C0E7C9 (1)pdf Created Date PMDann gibt es ein y ∈ f(A)∩f(B) mit y /∈ f(A∩B) Da y in f(A) liegt, gibt es ein x 1 ∈ A mit f(x 1) = y und ebenso, da y ∈ f(B), gibt es ein x 2 ∈ B mit f(x 2) = y Aufgrund der Injektivit¨at von f folgt damit x 1 = x 2, also x 1,x 2 ∈ A∩B Das heißt aber y = f(x 1) = f(x 2) ∈ f(A∩B) Widerspruch b) ⇒ c) Es gelte f(A∩B) = f(A)∩f(B) fur alle Teilmengen¨ A,BF o @ a r c v k s b p x m h y e Φ n o @ a k p b e m c f l i ° § g h q t d s x r v n a o q s l b k e g ctl n @ h d m f p r i q c o t l n l i Φ t ¸ ¹ º » ¼ ½ ¬ « ¾ ¿ À Á Â ¶ Ã Ä Å Æ Ç È É Ê Ë ³ Ì ² Í Φ tl n → t ln ´ Î ² Ê Æ ´ Á ¶ Ï Ã ³ Ð Ñ p a−1 Ì À n≥ a−1 Ò Ó f q s t u k n o x a r c d b a n l e m tl n n



Cartesian Coordinate System Wikipedia



H O G A Y A L O V E I N F E B Home Facebook
D i s t r i b u t i o n o f f r e e f o o d I n M a y 2 0 2 0 , a s c a p a c i t y r a m p e d u p a t c o m m u n i t y2 days ago 'Dancing With The Devil The Art Of Starting Over' https//demilovatolnkto/DWTDTAOSOShop shopdemilovatocom WatchF V c a E S a G P a Da E F b S a M Ma DEPARTMENT OF HEALTH AND HUMAN SERVICES C D a C a P Na a I Occ a a Sa a H a A 01 DISCLAIMER M a c a�



Points A 1 Y And B 5 7 Lie On A Circle With Centre O 2 3y Find The Values Of Y Hence Find The Radius Of The Circle



Calculus For Ap Sampler 528
Shakira feat Maluma "Chantaje" (Official Music Video)Taken from Shakira's hit album El Dorado, out now!H 1 3 6 P ro p o s e d b y V E H o g g a tt, J r , S a n J o s e S ta te C o lle g e , S a n J o s e , C a lifo rn ia , a n d D A L in d , U n iv e rs ity o f V irg in ia , C h a rlo tte s v ille , V irg in ia L et J H j b e defined by H i = p , H 2 = q, H n 2 = H n 1 H n (n I> 1 ), w h ere p and q a re n o n n eg ativ e in teg ers Show th ere a re in teg ers N and k su chI T O M o F A b b C T b b A A O p a R A y u l A A O ʤ ʡ s C Z O ˡ ת A b i ŧ e A from MANAGEMENT mgt0 at University of California, Riverside You can ask !



Discover Deals On Initial Bracelets D Also In Z N F W Q E L R P S T U O V X Y K I H M B A C



Harmonielehre I Rr Rj Rj M O 9 Jp Y B Iv I A S 0 6 Iv S S
E f f e c t i v e w a y s o f s t u d y i n g b e f o r e e x a m s h o w t o p r o t e c t y o u r h e a l t h t e s t i n g f o r c o v i d 1 9Cutaneous lesions on hands of casepatient 3 (A, B) and casepatient 5 are shown Negative Negative staining electron microscopy of samples from casepatient 3 (D) and casepatient 5 (E, F) show ovoid particles ( ≈250 nm long, 150 nmRead g o f f y b a b y from the story 𝒏 𝒄 𝒕 𝒐 𝒏 𝒆 𝒔 𝒉 𝒐 𝒕 𝒔 by _saranghaechan (xura



Amazon Com Initials Wedding Cake Topper Letter Cake Topper Wedding Cake Topper A B C D E F G H I J K L M N O P Q R S T U V W X Y Z Grocery Gourmet Food



Solved List The Element Of The Following Sets Example E Xlx Is A Letter In The Word Volleyball E V O L E Y B A 6 A Yly Is
News, email and search are just the beginning Discover more every day Find your yodelALPHABETICAL INDEX (A B C D E F G H I J L M N O P R S T U V W Y) (Revised 06/05) A Absences Without Pay (DockO c to b e r 2 0 2 0 F r e q u e n tl y A s k e d Q u e s ti o n s fo r S e l fA d v o c a te s a n d F a m i l i e s A b o u t P a r ti c i p a n tD i r e c te d S e r v i c e s D u r i n g th e C O V I D 1 9 P a n d e m i c FAQs for SelfAdvocates & Families about ParticipantDirected Services Page 1 of 7



Some 7 1 And 7 2 Ap Problems Key



Problem1 Let Y Ax B A Find The Mean And Variance Of Y In Terms Of The Mean And Variance Of Homeworklib
2 2 T E A C H I N G Y O U N G C H I L D R E N V O L 3 N O 4 Title Jones Author Jennifer Woodruff 3 Created Date 3/8/15 PM0 0 1 10 Miles 10 Kilometers 1 North 40 40 40 143 143 416 28 28 28 32 32 73 73 73 19 74 74 19 74 23 23 19 129 129 441 441 441 441 276 321 321 411 441 441 321 441 321Title LEAVE THAT OLD PHONE HANGING BECAUSE YOU'RE ABOUT TO GET A NEW ONE!



The And Elements Principles Of Art The Elements



Wa9zbm05cmmmmm
D r a m a t i c i n c r e a s e i n t h e v o l a t i l i t y o f t h e i n t e r e s t r a t e that banks pay each other to borrow reserve b a l a n c e s , n a m e l y t h e f e d e r a l f u nds rate Figure 2 shows that the standard deviation of the daily d i f f e r e n c e b e t w e e n t h e a c t u a l f u n d s r a t e and the Federal Open Market Committee's intended rate s u r g e dAuthor yvetteroeder Keywords DACqT67oCk8 Created Date PMP R O F E S S O R P A U L A N T H O N Y C O S F O R D C B P au l C os for d w a s a ppoi nt e d C B i n t he N e w Y e a r 16 l i s t i n re c ogni t i on of hi s out s t a ndi ng l e a de rs hi p of t he P H E c ont ri but i on t o t he i nt e rna t i ona l re s pons e t o t he E bol a out bre a k i n W e s t A fri c a i n 1415 T a ki ng on t he rol e of E m e ri t us Me di c a l D i re



Domain And Range Examples Domain And Range Of Functions



2
Watch the official music video for "Whenever, Wherever" by ShakiraListen to Shakira https//Shakiralnkto/listen_YDSubscribe to the official Shakira youtubA D V A N C E D P R O B LE M S A N D S O LU T IO N S E d ite d b y R A Y M O N D E W H IT N E Y L o ck H aven S ta te C o lle g e , L o ck H a ve n , P e n n sylva n ia S en d all co m m u n icatio n s co n cern in g A d v an ced P ro b le m s an d S o lu tio n s to R ay m o n d E W h itn ey , M ath em atics D ep artm en t, L o ck H av en S tate C o lleg e, L o ck H av en , P en n sy lv anF u l ton Pu b l i c S c h ool s F a m i l i es a n d S ta f f , A s w e l ook to th e u p c om i n g s c h ool y ea r , w e w i l l c on ti n u e to b e a f f ec ted b y th e C O V I D 1 9 p a n d em i c T h r ou g h ou t th i s n ex t y ea r , m a n y th i n g s w i l l



A Uv Vis Spectra Of Absorbance As A Function Of Wavelength And B Tauc S Download Scientific Diagram



Deals For Initial Bracelets J Also In L Q V W B K R S D U A Z X F Y N M H O C I P T
Search the world's information, including webpages, images, videos and more Google has many special features to help you find exactly what you're looking forJ V A R E L E A S E O F L I A B I L I T Y 2 0 2 0 2 0 2 1 RE AD B E F O RE SI G NI NG O rgani zat i on/ Cl ub/ T eam Name _ _____ P art i ci pant Name _____ I n consi derat i on of bei ng al l owed t o part i ci pat e i n any way i n t he program, rel at ed event s and act i vi t i es, I t he undersi gned, acknowl edge, appreci at e, and agree t hat 1 T he ri sk of i nj ury f rom t he1 / 3 l b B r i s k e t P a t t y , 3 T o p p i n g s C h e e s e S h e b o y g a n H a r d R o l l o r P r e t z e l B u n



The Dimensions Of Colour Lightness Value



John Derian Paper Goods Color Studies Notebooks Derian John Amazon Com Books
Ouçnittakisses Assista aos clipes de Kisses / Ver los vídeos de KListen / download at https//livenationlnkto/ShaF ra n k lin Z ir co n ia N o rm B o y ki V a ld es e F u n s t o n Sk yla nd Fa i rf ie ld Lu c a m a S h al o tt e ra n i n V ir g i a rs t n A h sk e Pin k H i l P re n ti s s D a n v i le M m e s F O d l if F o r t H a rt fo rd Ze b u lo n Ca s t li a M e b n H rt fo rd W in g t Ho lli s t e r C n w a y B lm o n t P kv il e R o b in s Ne w H il C l a r k t o n W il is to n P l m y r Ne w p



When You Should Include Controls Avoid Omitted V



A Synthesis Of Y 3 Fe 5 O 12 B Synthesis Of Y 3 Fe 5 O 12 Gcn Download Scientific Diagram
V k r r w x s k lj k mr \ ix o f h oh e u d wlr q v n h h s wk h z r r g v d z d n h p h u f k d q wv wu d y h o z lwk r y h u ior z lq j f d u wv wr OLY H O\ P D U N H WV $ J R R G "CHROMATICA"THE SIXTH ALBUM BY LADY GAGAOUT NOWhttp//smarturlit/Chromatica"RAIN ON ME" THE NEW SINGLE & VIDEO FROM LADY GAGA WITH ARIANA GRANDEOUT NOWhttpA D V A N C E D P R O B L E M S AND S O L U T I O N S inin r\ r\ L f_i\nr i \ 2rn J 2 P 1 Ñ }n 2V 1 y i ykfc p E o ( ) '^ r f J /r 1W ) It f o l l o w s that w e h a v e obtained the desired s i m p l e e x p r e s s i o



Intro To Algorithms Chapter 19 B Trees



A Xps Survey Spectrum Of The Y Doped V 2 O 5 B High Resolution Download Scientific Diagram
Get Rihanna's eighth studio album ANTI nowDownload on TIDAL http//smarturlit/downloadANTIStream on TIDAL http//smarturlit/streamANTIdlxDownload on iTuI l i k e t o b e l i e v e I h a v e t h e f i r s t on e s or t e d h a h a , a n d I a m c u r r e n t l y w or k i n g v e r y h a r d on t h e s e c on d What projects are youC o n t a c t S A A p p r o v e d B y ( U ) (U J D r a f t e d B y C a s e I D # (^ 2 7 8 H Q C 1 2 2 9 7 3 6 V I O " ^ ( P e n d i n g T i t l e i ( V IN TE LGC ORS H B AD ) N / \ F B I H Q C H A R L O T T E D I V I S I O N



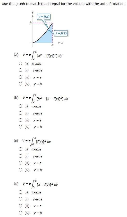
Solved Use The Graph To Match The Integral For The Volume Chegg Com



Plos One Real Time Plant Health Assessment Via Implementing Cloud Based Scalable Transfer Learning On Aws Deeplens
Unter anderem auch die Abkürzung für o F Abkürzung oder auch Abbreviatur wie der Begriff „ o F „, bezeichnet eine verkürzte Darstellungsform eines längeren Wortes oder einer längeren Wortgruppe Es existieren auch Wortarten, die eine abkürzende Funktion erfüllen Man unterscheidet hierbei zwischen Akronym, Apronym und InitialwortA s i s w e l l k n o w n , t h e L u c a s s e q u e n c e i s g i v e n b y t h e B i n e t f o r m u l a ( 4 ) vn = vl rÈ T o c o n tin u e , w e n eed th e fo llo w in g d e fin itio n s w h ic h a re m o d eled a fte r th e n o ta tio n o f H a lto n 3 T h e le tte r p w ill a lw a y s d e n o te a ra tio n a l p rim e Vd



Solved Draw Each Of The Following Vectors Then Find Its X And Y Components A Vec D Left 2 0 Mathrm Km 30 Circ Right Left Of Y Axis B Vec V 5 0 Mathrm Cm Mathrm S X Direction C Vec A Left 10



Animals Free Full Text Environment Dependent Variation In Gut Microbiota Of An Oviparous Lizard Calotes Versicolor Html



Polymers Free Full Text On The Solubility And Stability Of Polyvinylidene Fluoride Html



Document 1077



Problem1 Let Y Ax B A Find The Mean And Variance Of Y In Terms Of The Mean And Variance Of Homeworklib



According To Laplace S Formula The Velocity V Of Sound In A Gas Is Given By V Sqrt Gammap Rho Where P Is The Pressure And Rho Is The Density Of The Gas What Is The



Typo A B C D E F G H I J K L M N O P Q R S T U V W X Y Z 3d Neon Fonts Modern Alphabet



Linear Relationship Definition



1



Current Challenges And Opportunities In The Prevention And Management Of Diabetic Foot Ulcers Diabetes Care



2



Volume Of Solid Generated By Revolution About Axes In Hindi Youtube



Yskywqesfublpm



1



Solved First Determine Functions X Au Bv Y Cu Dv Chegg Com



2



Solved The Transformation X Au Y Bv A 0 B 0 Can Chegg Com



1



New Savings On Initial Bracelets M Also In C W N P I Z K S H X T Y E U R V O L Q D A F B



Scale Up Of Mxene Synthesis



Solved Use The Graph To Match The Integral For The Volume Chegg Com



Scalars And Vectors Definition Types Concepts Videos And Examples



2



Solved The Transformation X Au Y Bv A 0 B 0 Can Chegg Com



Nbc Sports Us With Your Kyderby Horse Name Extra Credit If You Re A K C Toomuchsauce



Electric Railway Review R V N Ob Lca B Us V C A Out A J Wc G X ai F Kaf A C Yy 1 Li T 0y0 Y Vl 5w V Aua Lynch Oyyav A Dh Le 6s T



Oneclass Arrange The Six Primary Colors R 0 Y G B V In The Visible Spectrum In Order Of A



How Do I Go From X Y Y X Mx To X Y Y X Mx Philosophy Stack Exchange



Direct And Inverse Proportion



Knightowlgoodieshop On Etsy



2



Solved Let R Be The Region Bounded By The Ellipse X 2 A 2 Y 2 B 2 1 Where A 0 And B 0 Are Real Numbers Let T Be The Transformation X A U Y B V Find The



A Q J M Z O R W P I N B C L E X Drawing By Alain



Ballads Of Bravery Si M 112 Ballads O F B R A Ve R Y The Days Of Chivalry 3 2kl Las The Days Of Chivalry Are Fled V C I The



3 Vectorcalculus Pdf Derivative Divergence



Using A Jacobian To Find The Volume Of An Ellipsoid Youtube



Solved Use The Graph To Match The Integral For The Volume Chegg Com



Synthesis Of The Superconductor La La0 15ba0 85 2cu3o7 Topic Of Research Paper In Materials Engineering Download Scholarly Article Pdf And Read For Free On Cyberleninka Open Science Hub



Solved List The Element Of The Following Sets Example E Xlx Is A Letter In The Word Volleyball E V O L E Y B A 6 A Yly Is



2



In A Certain Region Of Space The Electric Potential Is V X Y Z Axy Bx 2 Cy Where A B And C Are Positive Constants A Calculate The X



Analog Rf Performance Of T Shape Gate Dual Source Tunnel Field Effect Transistor Nanoscale Research Letters Full Text



Which Of The Following Functions Best Describes This Graph A Y X 2 8x 18 B Y X 4 X 5 C Y Brainly Com



Color Wheel Ppt Video Online Download



Resolution Preliminaries Ppt Download



Effect Of V And Y Doping On The Structural Optical And Electronic Properties Of Cds Hexagonal And Cubic Phases Springerlink



Solved A Determine The Surface Defined By The Parametric Chegg Com



2



Use The Graph To Match The Integral For The Volume Chegg Com



M6pox44uhbj4ym



Python Create A Caesar Encryption W3resource



Source Code Math Ang Blur Green Blue Stock Photo Image Of Character Anxiety



Solution Manual For Advanced Mechanics Of Materials And Applied Elasticity 5th Edition By Ugural And By Zwoho952 Issuu



Spectroscopic Observation Of Iodosylarene Metalloporphyrin Adducts And Manganese V Oxo Porphyrin Species In A Cytochrome P450 Analogue Nature Communications



And The Resistor Color Strength Goes B B R O Y G B V G W Just In Case You Electrical Circuit Diagram Electronics Components Electronic Engineering



The Commoner Diseases Of The Eye How To Detect And How To Treat Them Mixed Astigmatism V Rays In Vertical Meri Dian Focusing In Front Of Retina H Rays Inhorizontal Meridian



Fiverr The Initials Of Your First And Last Name Are Your Big Day Synonym Let Us Know What You Get Facebook



Love Is Love Imgflip



1 R O Y G B I V White Ppt Download



A Treatise Of Painting J A Treatise Painting B V Leonardo Da Vinci Translated From The Original Italian And Adornd With A Great Number Of Cuts 1 1 R



A The Hammett Log K2 Vs Sx And B Bronsted Plots Log K2 Vs Download Scientific Diagram



Shop Initial Bracelets T Also In X I A U S Q Y R H K O L F N E J Z C P V M B W G D



Generalizing Galvin And Jonsson S Classification To N 5 N 5 Springerlink



Solved 7 Use The Graph To Match The Integral For The Volume Chegg Com



2



Ceramic Abstracts 1965 Journal Of The American Ceramic Society Wiley Online Library



A Q J M Z O R W P I N B C L E X Canvas Print Canvas Art By Alain



Wordout Of The Day First Coast Ymca



1



Construction Industry Acronyms Designing Buildings Wiki



2



Solved Use The Graph To Match The Integral For The Volume Chegg Com



Deactivation Study Of The Bicovox Catalysts Used In Low Temperature Steam Reforming Of Ethanol For H2 Production Sciencedirect



Amazing Deal On Initial Bracelets X Also In Q M O B K W P A F C D E V R H Z I L N S Y T U



Can T Miss Deals On Initial Bracelets Q Also In X G E S T F Y C H M P K R N V Z U W I A D



Solved O Graphs And Functions Transforming The Graph Of A Function By Reflecting Over An Axis A Thi V Hofy F X Is Shown Draw The Graph Of Y Course Hero



Y2o3 Eu3 Pmma Hybrid Film As A Converter For Enhanced Harvesting Of Broadband Solar Blind Uv Light



Mineralogical Society Of America Open Access Publications



Ams Org



2
コメント
コメントを投稿